国学名著
新华字典
汉语词典
成语词典
笔顺查询
词语造句
诗词名句
中医中药
故事大全
方言大全
周公解梦
歇后语
谚语大全
偏方大全
谜语大全
百家姓
疾病百科
识字网
>
中医中药
>
中医古籍
>
国药诠证
>
第543页
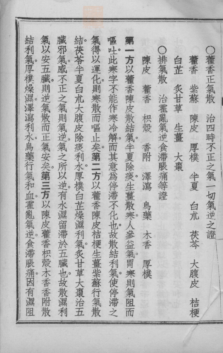
《国药诠证》第543页
Tips:点击图片查看原图
第542页
返回目录
第544页
中医中药
中医古籍
中药方剂
中药材
中医书籍
中医知识
中药材
大草乌
大草蔻
大荨麻
大萼鹿角藤
大葫芦
大蒜
中医药方
守宫丸
守宫膏
守瘿丸
实脾散
实脾散
寿星丸
中医知识
冬季胡萝卜忌生吃
冬季吃萝卜忌削皮
冬季忌多吃腌菜
冬季忌狗肉与大蒜同食
冬季忌狗肉与鲤鱼同食
冬季吃狗肉后忌立即喝茶